Az eddig bemutatott modellek mára már a nyugdíjrendszerek modellezésében is elterjedtek. Például egy ilyen életciklusmodellben hasonlította össze Aaron (1966) a felosztó-kirovó és a tőkésített rendszert. S ezt a statikus modellt dinamizálta Auerbach–Kotlikoff (1987) és Kotlikoff (1996), és érvelt amellett, hogy a felosztó-kirovó rendszert tőkésíteni kell. A következő részben vázoljuk e modellek nyugdíjszempontú alkalmazásait.
A modern gazdaságokban két alapvető nyugdíjrendszer ismert: a tőkésített és a felosztó-kirovó (angol rövidítésük: CR és PAYG) rendszer. Az első rendszerben mindenki saját magának takarékoskodik. A második rendszerben viszont társadalmi szinten nincs se hitel, se megtakarítás: minden időszakban a dolgozó korosztályok által termelt javakra szóló jogcímeket – jövedelmeket – valamilyen elv szerint elosztják az összes élő korosztály között.
Modellcsaládunk elvileg alkalmas arra, hogy segítségével rangsoroljuk a két rendszert. Kimondjuk a fő tételt, az úgynevezett Aaron-elv et.
7. tétel [ Aaron (1966)] . A gyereknevelés költségeit elhanyagoljuk. A felosztó-kirovó rendszer akkor és csak akkor jobb (tudniillik akkor biztosít minden korosztálynak nagyobb jólétet, azaz nagyobb életpálya-hasznosságot), mint a tőkésített rendszer, ha a gazdaság növekedési üteme nagyobb, mint a reálkamatláb .
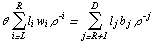
Bizonyításvázlat. Először definiáljuk és kiszámítjuk a felosztó-kirovó rendszer belső hozamtényezőjét, amelyet kamattényezőnek tekintve, megfeleltethetjük a rendszert egy azonos paraméterekkel rendelkező tőkésített rendszernek. Tegyük föl, hogy annak valószínűsége, hogy egy újszülött megéri a k -adik születésnapját, l k . Jelölje w i az i évesek keresetét az i -edik évben, és b j a j évesek nyugdíját a j -edik évben. Legyen θ a keresetekkel arányos nyugdíjjárulék kulcsa . A belső hozamtényezőnek azt a pozitív számot nevezzük, amellyel leszámítolva az egyén be- és kifizetéseit, egyenlőséget kapunk:
                                                
               
                   .
               .
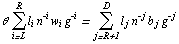
Tegyük föl, hogy minden korosztály létszáma minden évben n -szeresére nő, ekkor n a népesség növekedési tényezője . Legyen 1 a 0-adik évben született korosztály létszáma. Ekkor a 0-adik évben k évesek száma l k n – k . A 0-adik évben i évesek keresete w i g–i és a j évesek nyugdíja b j g–j . Tehát a 0-adik év keresztmetszeti feltétele az, hogy a nyugdíjjárulékok összege egyenlő a nyugdíjjáradékok összegével:
                                                
               
                   .
               .
Összevetve a két egyenlőséget, adódik, hogy ρ = gn, azaz a belső hozamtényező egyenlő a népesség és a termelékenység növekedési tényezőjének szorzatával.
Az Aaron-tétel azon az elgondoláson alapul, hogy akkor és csak akkor jobb a felosztó-kirovó rendszer, mint a tőkésített, ha az előbbi belső hozamtényezője nagyobb, mint az utóbbi kamattényezője. Ezt az egyenlőtlenséget Aaron-feltételnek nevezzük.
Szerintem Aaron két különbözőfajta felosztó-kirovó rendszert elemzett, anélkül hogy észrevette volna.
1. Az általában elfogadott értelmezés szerint – és Aaron verbális bevezetése alátámasztja e felfogást –, Aaron burkoltan föltette, hogy az elhanyagolt családi pótlék mellett a nyugdíjat, valamint az adókat és hozzájárulásokat egyaránt magában foglaló transzferrendszer mérete és szerkezete exogén módon adott, és a fogyasztók (az elhanyagolt gyermekek mellett a dolgozók és nyugdíjasok) szabadon kölcsönözhetnek a bankoktól. Ezt a rendszert PAYG1-nek nevezzük. Aaron azt találta, hogy a PAYG1 bevezetése pontosan akkor növeli az életpálya (leszámítolt) keresetének jelenértékét a tőkésített rendszerhez képest, ha a róla elnevezett feltétel teljesül. Ebben a felfogásban zavaró, hogy a transzferrendszer mérete és arányai exogén paraméterek, és az Aaron-feltétel teljesülése esetén minél nagyobb a felosztó-kirovó rendszer mérete (például a nyugdíjak és a bérek hányada), annál nagyobb a javulás.
2. Furcsa módon Aaron matematikai modelljében egy másik felfogás fedezhető fel. Itt Aaron be- és kifizetések helyett keresetekkel és nyugdíjakkal dolgozott. Aaron második gondolatmenetét követve, Simonovits (1995) tanulmányomban egy másik megközelítést dolgoztam ki: az optimális méretű és szerkezetű PAYG2 rendszert magánmegtakarítások és kölcsönök kizárásával határoztam meg.
Ebben a részben eddig elhanyagoltuk a gyereknevelési költségeket, most újra figyelembe vesszük őket. A kiterjesztett PAYG2 rendszeren keresztül transzferekben részesülvén, a gyerekek és a fiatal dolgozók többet fogyaszthatnak, mint amennyit keresnek. Mindkét kiterjesztett rendszerben (PAYG1-ben és PAYG2-ben) az Aaron-elv elveszíti érvényességét.
Érdekes, hogy a nyitott gazdaság nyugdíjrendszereinek rangsorolása és a zárt gazdaság állandósult állapotának milyensége összefügg egymással. Az aranyszabály-állapot felel meg a felosztó-kirovó rendszernek, a kiegyensúlyozott állapot pedig a tőkésített rendszernek. Zárt rendszerekben Aaron elve most úgy jelenik meg, hogy a kiegyensúlyozott állandósult állapotok nem optimálisak. Ha a kiegyensúlyozott kamatláb negatív, akkor a hozzátartozó állandósult állapot úgy javítható, hogy minden szereplő jól járjon (Pareto-optimalitás).